출처: AI 엔지니어 기초 다지기 : 네이버 부스트캠프 AI Tech 준비과정
확률론 왜 필요? : 딥러닝(AI)는 확률론 기반 기계학습 이론을 근거로 하기 때문
분산 및 불확실성 최소화위해서 측정 방법(통계학에서 제공, 확률론 기본 개념)을 알아야 함
기계학습내 손실함수(loss function): 데이터 공간 통계적 해석 유도
ex) 회귀분석내 손실함수 L2노름: 예측오차 분산 최소화 방향으로 학습 유도
ex) 분류문제내 cross-entropy(교차엔트로피)는 모델 예측 불확실성 최소화 방향 학습 유도


Y: 정답 레이블 // 파란색 점 = 관측한 데이터
discrete(이산형) <-> continuous(연속형) 확률 변수 구분 기준: 확률분포 D


cf) 이산형과 연속형이 둘 다 있는 경우도 있다. 반드시 이분법으로 나눌 수 없다!
Joint Distribution(결합분포) P(x,y)는 기존 확률분포 D를 모델링한다.
p(X) = 입력 x에 대한 Marginal distribution (주변확률분포; y정보 없음)
P(x|y) = input x, output y 관계 모델링



y가아닌 x에 대해서 하면 y에 대한 주변확률 분포를 구할 수 있다.
조건부확률은 기계학습에서 중요하다!
P(y|x) : input x에 정답이 y일 확률(연속분포는 확률이 아닌 밀도로 해석) <-> P(x|y) = input x, output y 관계


조건부기댓값 사용 이유: L2노름을 최소화하는 함수와 일치하기 때문
조건부 기댓값을 사용안하는 경우 ex) 데이터를 robust하게 예측하는 경우 median(중앙값)을 사용해서 추정하기도 한다.
Expectation 정의



기계학습의 현실: 확률분포 명시적으로 알 수 없음 -> 이 상황에서 기댓값을 계산하려면? -> Monte Carlo 샘플링 사용

Monte Carlo sampling condition: if it is independent trials, by Law of large number(대수의 법칙), it converges.
몬테카를로 각종 예제


Monte Carlo로 근사시키려면? : Uniform distribution(균등 분포)에서 data sampling -> 함수 대입 -> 대입된 값을 산술평균 취해줌 -> 구간의 길이(2)를 곱함
통계적 모델링: 적절한 가정에 확률분포 추정(inference) = 기계학습, 통계학의 공통 목표

모집단 분포 정확히 알아내는 것은 불가능 -> 근사적으로 확률분포 추정 (데이터, 추정방법 불확실성 위험 최소화)
모수(parameter): 확률분포를 결정하는 지표. ex) 평균, 분산 등
모수적(parametric) 방법론: 데이터가 특정 확률분포를 따른다고 선험적(a priori) 가정한 후, 그 분포를 결정하는 모수(parameter)추정하는 방법
비모수(nonparametric) 방법론: 특정 확률분포 가정 없이 모델 구조 및 모수 개수가 유연하게 바뀌는 경우. 모수가 무한히 많거나 데이터에 따라 바뀌는 경우에 해당. (모수가 없다는 의미가 아님!) 대부분의 기계학습의 방법론에 해당
모수, 비모수 방법론 차이: 특정 확률분포 가정 여부

주의점: 기계적(공식적)으로 확률분포 가정하면 안됨! 항상 데이터 생성 원리를 먼저 고려하는 것이 원칙!
각 분포마다 검정방법이 있으므로 모수 추정 후에는 반드시 검정해야함!
데이터 확률분포 가정 후 모수를 추정하는 예제: 정규분포로 가정한 경우

Sample distribution(표본분포): 표본들의 분포
Sampling distrbution(표집분포): 통계량(표본평균, 표본분산 )의 확률분포
두 분포 개념 정의가 다름에 유의!

모집단 분포가 정규분포가 아님 -> 표본분포도 정규분포 아님
BUT 통계량의 확률분포(표집분포)는 정규분포를 따를 수 있다.

그렇다면 적절히 사용해야할 통계량을 선정하는 기준은 무엇일까?
표본평균, 표본분산: 중요한 대표 통계량 but 확률분포마다 사용하는 모수 다름 -> 적절한 통계량 달라질 수 있음
MLE(Maximum Likelihood Estimation: 최대가능도 추정법): 이론적으로 가장 가능성 높은 parameter(모수) 추정


로그가능도 사용 이유: 데이터 숫자가 수억단위인 경우, 컴퓨터 계산 불가능,
경사하강법(=미분을 사용)으로 가능도 최적화할 때, 로그가능도 연산량 O(n^2) -> O(n) 로 줄어든다.
손실함수에 사용된 경사하강법 -> 음의 로그가능도(negative log-likelihood) 최적화(최소화)
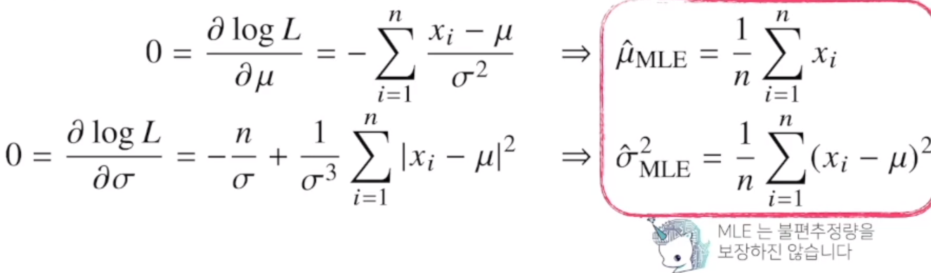
MLE 정규분포 예제


log로 계산해보면

log likelihood를 평균 mu로 편미분한 경우와 표준편차 sigma로 편미분한 두 식이 0이되는 mu와 sigma를 찾아보자

MLE 카테고리분포 예제

여기서 로그연산은 다음과 같이 진행된다

nk: k=1인 xi개수


라그랑지 최적화, FOC(미분) 결과는 다음과 같다.

MLE로 딥러닝에 기계학습모델 학습하기 (해당 수식 유념할 것)

기계학습에 사용되는 손실함수: 모델이 학습하는 확률분포, 데이터에서 관촬된 된 확률분포 이 둘의 거리로 유도


[point]
각종 논문들을 보면 이 MLE 원리에 따라서 손실함수 최적화가 유도됨
통계학적 방법을 통해 기계학습이 이뤄짐
'Programming > Python' 카테고리의 다른 글
| [CNN] Convolutional Neural Networks (1) | 2024.02.27 |
|---|---|
| 인공지능 기본 수학 (베이즈 통계학, 인과관계 추론) (2) | 2024.02.18 |
| 인공지능(AI) 기초 (0) | 2024.02.07 |
| 인공지능 기본 수학 (선형대수: 벡터, 행렬, 경사하강법) (2) | 2024.02.05 |
| 기본 개념 정리 4 (hyper-parameter, Ensemble) (0) | 2024.01.30 |